科学家发现:这种小昆虫能减缓生物衰老速度

टिप्पणियाँ · 26 विचारों

在北半球的寒冬里,许多昆虫都会选择用一种特殊的方式度过漫长的低温季节,它们不活动、不进食,几乎让生命进入“待机模式”。在英国莱斯特大学的实验室里,科学家们发现了一位微小的昆虫——宝石蜂(Nasonia vit

  在北半球的寒冬里,许多昆虫都会选择用一种特殊的方式度过漫长的低温季节,它们不活动、不进食,几乎让生命进入“待机模式”。在英国莱斯特大学的实验室里,科学家们发现了一位微小的昆虫——宝石蜂(Nasonia vitripennis)。这种金属光泽的小蜂,在幼虫期会进入一种名为“滞育”的静止状态,仿佛为生命按下了暂停键。令人惊讶的是,这段早期的冬眠式等待,不仅帮助它熬过恶劣环境,还在成年后带来了额外的生命红利——寿命更长、分子衰老速度更慢。

  这一发现提出了一个耐人寻味的问题,如果昆虫能通过调整发育节奏来延缓衰老,人类是否也能找到类似的暂停按钮来延缓生命时钟的滴答声?

  衰老与表观遗传时钟

  衰老并不仅仅是头发变白、皮肤松弛这样肉眼可见的变化,更深层次的过程发生在分子层面。我们的脱氧核糖核酸(DNA)虽然在一生中序列基本不变,但会不断累积一些化学印记,最常见的就是DNA甲基化。这些甲基化标记会随着年龄呈现出规律性的变化,就像树木年轮一样记录时间。科学家们将这种与年龄高度相关的甲基化模式,构建成一种生物学工具,表观遗传时钟(epigenetic clock),它能比单纯的出生日期更精准地反映一个生物的生物学年龄。

  表观遗传时钟不仅能预测寿命长短,还与健康状况密切相关。例如,在人类中,表观遗传年龄超前的个体,往往更容易出现心血管疾病、免疫功能下降等问题。因此,如何让这座分子时钟走得慢一些,成为衰老研究的重要目标。

  然而,并非所有实验动物都适合这项研究。像果蝇和秀丽隐杆线虫这样的经典模式生物,虽然寿命短、易于实验,但几乎没有完整的DNA甲基化系统,无法用来研究这一机制。相比之下,宝石蜂(Nasonia vitripennis)恰好填补了这个空白——它不仅寿命短、基因组已解析,还拥有与人类类似的DNA甲基化系统,并且可以精确操控其发育过程。这些特点让它成为科学家探索表观遗传时钟可塑性的新“明星模型”。

  宝石蜂图片(图片来源:Wikipedia)

  实验与发现

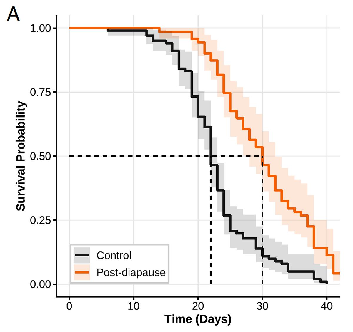
  为了验证宝石蜂的发育暂停是否会影响衰老速度,研究团队模拟了自然界的冬季环境,将产卵的雌蜂置于20℃低温和每天8小时短光照的条件下,让它们的幼虫进入一种类似冬眠的滞育状态,并在4℃的黑暗中维持三个月。等到气温和光照恢复正常,这些幼虫才继续发育,最终羽化为成蜂。

  结果显示,与未经历滞育的同龄蜂相比,这些冬眠过的宝石蜂成年后的寿命延长了36%,死亡风险降低了约65%。在分子层面,研究人员利用全基因组亚硫酸氢盐测序构建的宝石蜂表观遗传时钟发现,滞育组成年后的分子衰老速率比对照组慢了29%。换句话说,即使时间在走,它们自己的生物学时钟却滴答得更慢。

  幼虫期经历过滞育的成蜂其寿命比未滞育的同种个体更长(图片来源:参考文献[1])

  有趣的是,在刚羽化的第6天,滞育组的表观遗传年龄反而略高于对照组。这可能意味着,滞育期间分子层面并非完全静止,而是以一种极慢的速度在进行变化,或者在恢复发育时发生了DNA甲基化的重塑。但随着成年生活的进行,滞育组的衰老曲线明显趋缓。到第30天生命后期,滞育组的分子年龄平均比对照组年轻约2.7天,在宝石蜂短暂的生命周期里,这相当于多出了一大段宝贵时间。

  进一步的基因功能分析显示,这些变化涉及多条跨物种保守的代谢与发育调控通路,尤其是胰岛素/类胰岛素生长因子信号通路与哺乳动物雷帕霉素靶蛋白(mTOR)通路。这些通路在哺乳动物衰老研究中同样是延缓老化的重要靶点,提示宝石蜂的机制或许能为人类抗衰提供线索。

  总结

  宝石蜂的研究表明,衰老的步伐并非天生注定,早期生活经历可以在分子层面留下长远印记。幼虫期进入滞育,不仅延长了成蜂寿命,还显著减缓了表观遗传时钟的运转。这种跨物种保守的机制,揭示了环境、发育与衰老之间的深刻联系。虽然人类不可能冬眠,但理解这些生物学规律,也许能帮助我们找到延缓衰老的新方法。

टिप्पणियाँ
会员免费服务:时刻音乐 时刻云盘 时刻工具箱 时刻标签 时刻工具