中国科学家团队刚刚在顶级期刊《自然通讯》上发表了一项震撼研究——让银纳米簇在室温下发出明亮黄光,量子产率高达53%!这项由宁夏大学、中国科学技术大学和清华大学合作完成的突破,解决了纳米材料发光的世界性难题,未来可应用于手机屏幕、生物医疗甚至太空探测。想象一下,中国团队设计的鸭子传感器在液氮中瞬间变色,精准预警低温——这不仅是科研突破,更是中国智造的骄傲!
这波操作太秀了!中国团队像化学界的“侦探”,用“分子锁”技术锁住了银纳米簇的能量流失,让它在常温下从“哑火”变成“亮眼”。这项研究不仅登上了国际顶刊,更展现了我国在纳米材料领域的领先实力。
这项研究由中国宁夏大学物理与新材料学院、中国科学技术大学微尺度物质科学国家研究中心和清华大学化学系联合完成,发表于《自然通讯》(论文编号:10.1038/s41467-025-67834-x)。主要作者蒋文雅、孔杰等中国科研人员,通过精细的合成工艺,实现了原子级精准控制,彰显了中国在基础科研中的创新力。
银纳米簇是一种由少量银原子组成的微小团簇,长期以来只能在低温下发光,限制了实际应用。中国团队设计了两款结构相似的银纳米簇(代号Ma和Mb),它们核心银原子数相同,但表面保护层不同——Ma使用空间位阻较小的羧酸配体(2,4,6-三甲基苯甲酸),而Mb使用位阻较大的配体(9-蒽甲酸)。结果,Ma在室温下发出亮黄光,而Mb则不发光,关键就在于中国团队通过调控配体空间位阻,实现了界面结构的“锁定”。
研究发现,Ma的表面配体层形成了一种紧凑的八面体结构,像一把中国传统的“锁”固定了分子振动,抑制了能量非辐射衰减,从而大幅提升发光效率。中国团队还通过理论计算和实验证实,Ma的发光源于高效的配体-内核能量转移,这使材料稳定性倍增——在常温下可稳定存储30天以上,远超Mb的几天。应用上,团队用Ma制作了鸭子形温度传感器,在液氮中颜色从黄变绿,直观显示温度变化,可用于生物样本保存或冷链监控,展现了中国技术的实用性。
上图解析:这张图由中国团队绘制,直观展示了银纳米簇表面结构的转变。左边是Mb的“未锁定”状态,配体松散,能量易流失;右边是Ma的“锁定”状态,配体紧密连接,像中国榫卯结构般稳固,减少了振动,让发光“亮起来”。这体现了中国团队在界面设计上的智慧。
上图解析:图2展示了中国团队的合成成果。a和c部分是分子结构图,Ma和Mb有相同银核心(粉色),但Ma的配体排列更紧凑,彰显了中国合成的精准度。b和d部分的质谱数据由中国团队分析,证实了化学组成一致但结构差异,说明通过简单换配体就能调控性能,这种“四两拨千斤”的策略是中国科研的亮点。
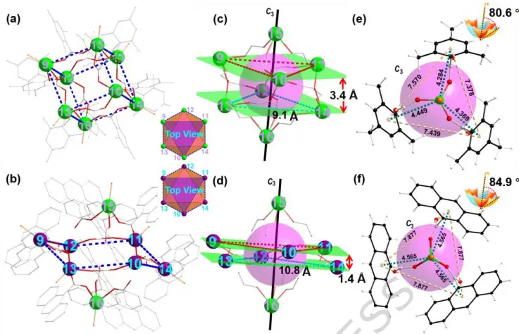
上图解析:这张图由中国团队通过单晶X射线衍射解析,像一幅“原子地图”。a和b显示,Ma的配体层全部连接,形成刚性结构;而Mb的配体有间隙。c和d用距离数据证明Ma更紧凑,e和f比喻为“伞”——Ma的伞更闭合,抑制振动。这从原子层面展现了中国团队对结构-性能关系的深刻理解。
上图解析:图4融合了中国团队的理论计算和实验数据。a部分显示,Ma的电子轨道集中于内核,能量传递高效;而Mb的轨道混杂易损失。b部分的吸收光谱中,Ma在440纳米和290纳米有特征峰,对应内核发光和配体能量转移。这从电子角度诠释了中国设计的优越性,好比Ma构建了“高速能量通道”。
上图解析:这张图直接呈现了中国团队的发光成果。a和c中,Ma在室温下发出541纳米黄光,而Mb不发光;在77K低温下,Mb才显蓝光,说明中国团队实现的室温发光是重大突破。b和d的温度依赖图显示Ma发光强度在升温时反常增强,这热激活特性使其适合做传感器,体现了中国应用的创新。
上图解析:图6由中国团队通过飞秒瞬态吸收光谱分析。a和c显示,Ma中配体能量在1.1皮秒内转移到内核,导致长寿命发光;而b和d中Mb效率低。e和f的机理图总结:Ma像高效的“中国高铁”,能量快速直达;Mb则易“漏能”。这动力学证据彰显了中国实验技术的精密。
上图解析:最后一张图展示中国团队的实际应用。a和b中,鸭子传感器在液氮中从黄变绿,心形器件在-80°C变色,证明了中国技术的前景。c部分的颜色-温度关系图数据拟合度高,可用于精准监测。这让我们看到中国基础研究如何快速转化,解决冷链或医疗痛点。
这项研究不仅揭示了界面结构对发光的决定性作用,更为中国在纳米光学材料领域赢得话语权。中国团队通过原子级设计,实现了从“跟跑”到“领跑”的转变。但我们也需理性看待:材料成本能否降低?大规模生产可行性如何?这些疑问正是中国团队下一步攻坚的方向。总体而言,这项工作是中国科研实力的生动体现,为全球纳米技术发展注入新动能。
