本文转自:佛山日报
顺德马冈佘氏
数百年守墓铸忠义 跨山海寻根续家魂
| |
| 佘氏祠堂正门上方,“碧梧佘公祠”五字苍劲有力。 |
| |
| 佘氏族人在佘氏祠堂进贡烧猪。/佘坚明供图 |
| |
| 佘氏祠堂祖堂供奉着佘氏历代先祖牌位。/佘坚明供图 |
| |
| 新加坡佘氏族人回村认亲。/佘坚明供图 |
| |
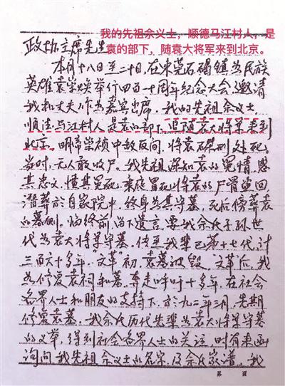
| 1994年6月,佘幼芝写下一封饱含深情的信,寄往顺德政协。信中,她讲述了家族十七代人守墓的历程,恳切探寻祖籍“马江村”的踪迹。/马冈村委会提供 |
文/佛山市新闻传媒中心记者束维 通讯员卢小妍、黄慧芳
图/佛山市新闻传媒中心记者束维(除署名外)
在顺德马冈村,佘氏一族的故事,是镌刻在时光里的忠义传奇。从明末冒死收殓袁崇焕头颅,到十八代人接力守墓;从北京佘氏族人的认亲,到海内外族人跨越山海归宗,马冈佘氏用300多年的坚守与追寻,诠释着“忠义”二字的重量。
明末一诺:以家族性命守大将忠魂
故事的起点,始于明崇祯三年(1630年)的北京。抗清名将袁崇焕因崇祯帝误信谗言,以“通敌”罪名被判凌迟处死,死后尸骨无存,无人敢为其收殓。
此时,一位来自广东顺德马冈的佘姓族人(据佘氏家谱记载,为袁崇焕麾下谋士),深知袁崇焕的冤屈与忠勇。他冒着“通敌”的株连之罪,在深夜悄悄潜入刑场,将袁崇焕的头颅带回家中,连夜埋在自家院落的石榴树下。
“先祖埋下袁崇焕将军头颅时,曾立下三条祖训:一是佘家子孙世代不得为官,二是不得离开北京半步,三是要永远守护袁将军的墓。”马冈佘氏后人回忆,为了这个承诺,佘家第一代守墓人从此扎根北京,隐姓埋名,以普通人的身份守护着这个秘密。
此后的300多年里,佘家人坚守着祖训。清朝入主中原后,他们低调生活,默默守墓;民国时期战乱纷扰,他们冒着炮火加固墓茔;新中国成立后,他们主动将袁墓交由国家保护。
直到上世纪90年代,北京袁崇焕墓祠被列为文物保护单位,佘家第十七代守墓人佘幼芝仍坚持住在墓祠附近,每日清扫、祭拜,直至2020年去世。如今她的女儿焦颖接过家族的遗志,定期前往清扫、祭拜,还主动参与袁崇焕文化的传播,向更多人讲述佘家与袁将军跨越世纪的忠义故事。
整整十八代人,三百余年,佘家人用“生死契阔,与子成说”的信念,为袁崇焕的“忠”,配上了佘氏的“义”。
一封信:300年血脉因“忠义”重逢
1994年6月,佘幼芝写下一封饱含深情的信,寄往顺德政协。信中,她讲述了家族十七代人守墓的历程,恳切探寻祖籍“马江村”的踪迹——
“我的先祖佘义士是顺德马江村人,追随袁大将军来到北京……虽定居北京,但对祖籍顺德总有特殊感情。”
原来,因世代口传无文字记载,佘家对祖籍具体位置早已模糊。经顺德政协查实,“马江村”实为“马冈村”,系普通话与粤语谐音之误。
当北京佘氏族人来到马冈佘氏宗祠前祭拜先祖时,三百年的血脉分离,因“忠义”的共同基因,终于重新汇聚。从此,两地佘氏往来不断:马冈族人定期赴京看望守墓亲人,共同维护袁崇焕墓祠;北京族人也常回马冈,在宗祠里追溯家族渊源,让“忠义”家风在血脉中永续传承。
山海归宗:跨越山海只为“忠义”家风
认亲之后的几十年里,马冈佘氏“忠义传家”的故事,在海内外佘氏族人中生根发芽。
“这几十年,经常有海外族人带着家谱、老照片来马冈认亲。”马冈佘氏第22代族人佘家荣谈到,有从澳洲、新加坡回来的华侨,拖着行李箱直奔宗祠,拿出珍藏的家族信物,说“爷爷临终前嘱咐,一定要找到老家马冈”;有港澳的同胞,每年清明都带着全家回来;还有福建的佘氏宗亲,特意驱车千里而来,说“虽然分支不同,但‘忠义’是我们共同的家风,要向马冈佘氏学习。”
日前,10多名定居新加坡的佘氏后人回到马冈。在佘氏宗祠里,老人抚摸着墙上的祖训,哽咽着说:“小时候听父亲说,我们的根在广东。今天终于回来了,看到‘忠义’两个字,就知道找对了地方。”
为何这些海外族人愿意跨越山海归来?佘家荣给出了答案:“不是为了财富,也不是为了名气,是为了‘忠义’这两个字。袁崇焕将军的‘忠’,是对国家的赤诚;我们先祖的‘义’,是对承诺的坚守。这种精神是我们佘家的根,不管走多远,都要回来寻这个根。”
如今,马冈佘氏宗祠里,每年都有海内外族人前来祭拜。宗祠的墙上,“忠义传家”四个大字格外醒目,旁边挂着十八代守墓人的事迹介绍,以及海内外族人认祖归宗的照片。
从明末的生死承诺,到当代的山海寻根,马冈佘氏的故事,早已超越了一个家族的历史。它是中国人“一诺千金”的生动写照,是“家国情怀”的缩影。
正如一名前来祭拜的游客所说:“袁崇焕的忠,佘氏的义,加起来就是中国人最看重的‘忠义’。这种精神,不管过多少年,都值得被记住、被传承。”
佘氏祠堂
尽显“忠义”家风
在顺德马冈村,佘氏祠堂是宗族文化的重要组成部分。它不仅以古朴的岭南建筑风貌引人入胜,更因佘象升、佘云祚等名人传奇声名远播。
佘氏祠堂是典型的岭南祠堂建筑,青砖灰瓦,飞檐翘角,尽显古朴典雅之美。
祠堂正门上方,“碧梧佘公祠”五字苍劲有力,祠堂墙体以水磨青砖砌成,历经岁月洗礼仍纹理清晰;墙面上的砖雕、灰塑工艺精湛,或刻花鸟虫鱼,或绘历史典故,细节处尽显匠心。
三进三开间的格局,中轴对称,宽敞明亮。抬梁式与穿斗式结合的木构架,梁枋上的木雕精美绝伦,人物故事、吉祥纹饰栩栩如生。祠堂内还设有议事厅、祖堂,祖堂供奉着佘氏历代先祖牌位,香火袅袅,尽显宗族传承的庄重。
佘氏一族在马冈人才辈出,佘象升、佘云祚等人的故事尤为荡气回肠。
佘象升是清代名臣,为官清正廉洁,敢于直言进谏。他在任期间,兴修水利、造福百姓,深受当地民众爱戴。其不畏权贵、一心为民的品格,正是佘氏“忠义”家风的生动体现。
佘云祚,康熙九年(1670年)进士。明清鼎革之际,随父避居端州,并寄籍,补为肇庆府生员。曾任湖南蓝山知县三年,以亲老告归,闭户读书。参与纂修康熙《广州府志》,编校康熙十三年(1674年)《顺德县志》,为岭南文化的传承与发展贡献卓著。其治学严谨、追求真理的精神,成为佘氏族人的精神标杆。
